Loading
Livraison à domicile (Toute la Tunisie) - Paiement Carte Bancaire / Virement / Paiement à la Livraison - Pour plus d'informations : 28 355 106

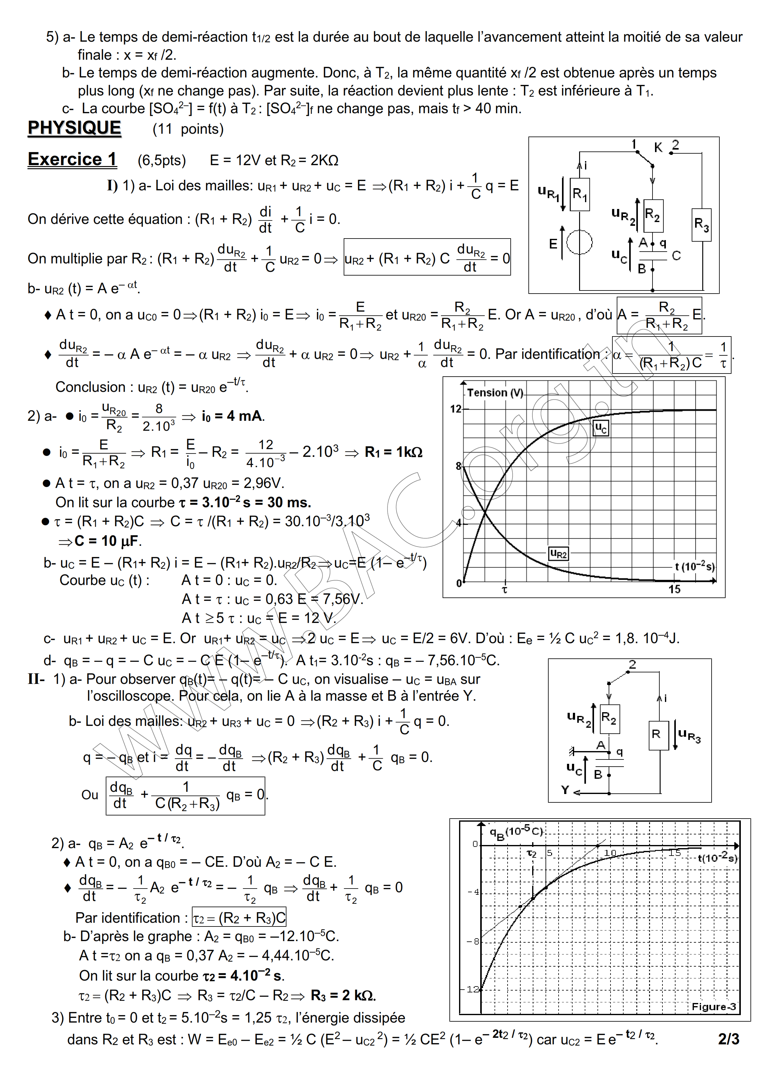
Des devoirs 1er Trimestre Mathématique,Physique & Sciences – Bac Sciences 2026

د.ت30,000

Avec Corrections

Category:
مرحبا! إسأل على أي حاجة تحب تعرفها